• Предмет: Математика
  • Автор: 26094529
  • Вопрос задан 3 года назад

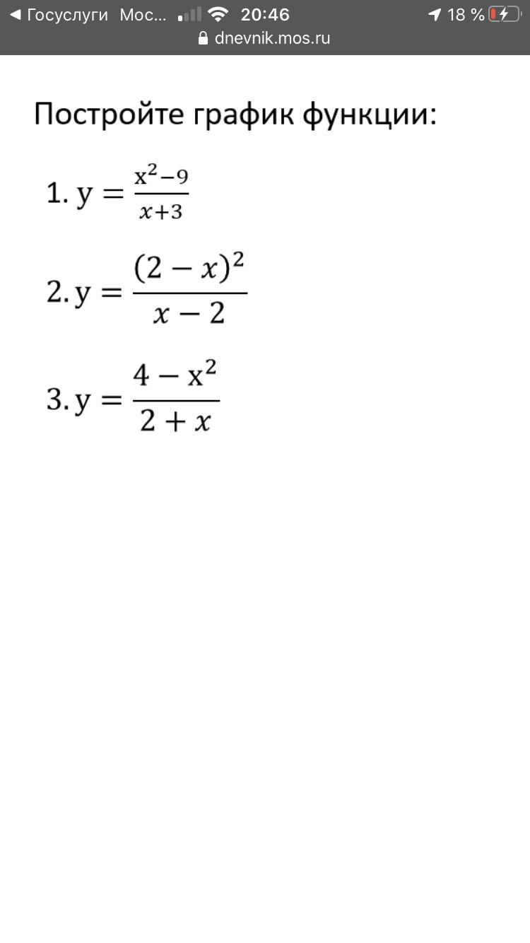
Помогите пж по алгебре

Приложения:

Ответы

Ответ дал: natalyabryukhova
0

Ответ:

===================================

Пошаговое объяснение:

Приложения:
Ответ дал: miki68
0

Ответ:

Пошаговое объяснение:

Приложения:
Вас заинтересует