• Предмет: Математика
  • Автор: otlicnikkkkk
  • Вопрос задан 3 года назад

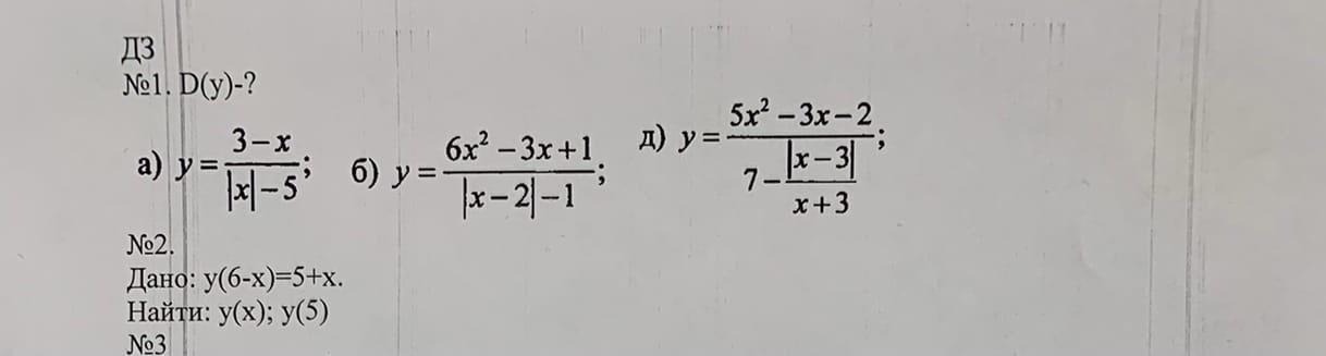
Помогите с первым заданием

Приложения:

Ответы

Ответ дал: jfrkjrj
0
y=3-х-5-6х=567х объяснение:
Вас заинтересует