• Предмет: Алгебра
  • Автор: feidana
  • Вопрос задан 3 года назад

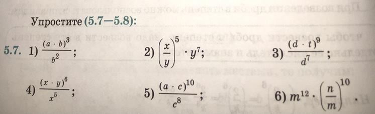
Упростите
1) (a*b)^3
—————-
b^2

Приложения:

Ответы

Ответ дал: amynzhasar
1

Ответ:

a³b

Объяснение:

a³b³/b²=a³b^(3-2)=a³b

Вас заинтересует