Ответы
Ответ:
Объяснение:
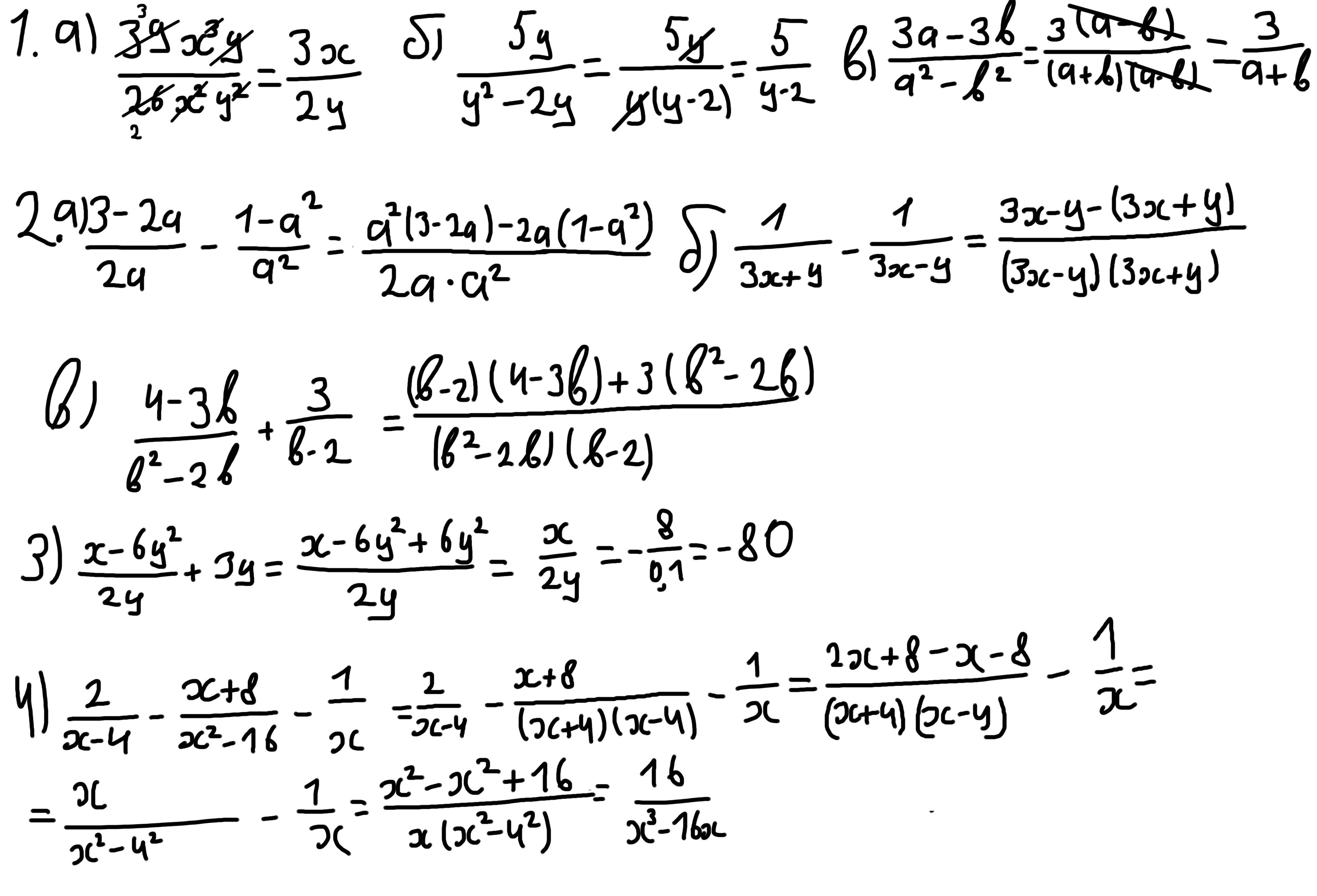
1. а) Берем по 13 и сокращаем 39 и 26, получаем 3 и 2 соответственно. При сокращение степеней они вычитаются, таким образом сокращаем x и y.
б) Тут нужно вынести в знаменателе y за скобки и у нас останется (y-2), если фонтанчиком умножить на y, который мы вынесли, то получиться изначальная запись. Мы можем сокращать только слагаемые в произведении, поэтому вынесенный y, умножаемый на скобку в знаменателе и 5, умноженное на y мы можем сократить. Вычеркиваем y.
в) В числителе мы выносим 3 за скобку. В знаменателе, применяя ФСУ, расписывает разность квадратов как скобка умноженная на скобку, у нас в числителе и знаменателе появляются одинаковые скобки, можем их сократить.
2. Представьте в виде дроби, я решил что имеется ввиду под одну черту. В этом задании можно было сократить ещё, но я не до конца поняв его, решил что это будут лишние усилия.
а) Тут просто ищем общий знаменатель кратный двум начальным для дробей. Я взял и умножил знаменатель первой дроби на знаменатель второй, таким образом я получил общий знаменатель. И числитель у каждой дроби домножил на знаменатель другой.
б) Тут все аналогично.
3. Сначала я решаю сократить это выражения. Находим общий знаменатель для двух слагаемых дробей и записываем под одной чертой. У нас появляются подобные члены -6y2 и +6y2 они исключают друг друга, их сумма равна нулю. Далее сократить невозможно, поэтому я подставляю данные в условии значения и считаю.
4. Сначала я ищу общий знаменатель для двух первых дробей. Для этого знаменатель второй я представил как x2-4^2 и, воспользовавшись ФСУ, расписал как 2 скобки, это и будет общий знаменатель для двух дробей, при этом нужно числитель первой домножить на (x+4). Считаем и знаменатель представляем теперь не как скоби, а как x^2-4^2. Ищем общий знаменатель для двух оставшихся дробей и домножаем дроби. Считаем и получаем ответ.
5. Предположительно 1 и 5.
