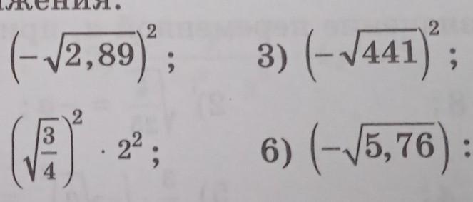
найдите значение выражения. Пожалуйста помогите дай
20 баллов очень надо кто умеет сделайте пожалуйста
Приложения:

Ответы
Ответ дал:
1
viceshlav29:
спасибо огромное очень выручил
Вас заинтересует
2 года назад
2 года назад
7 лет назад
7 лет назад
9 лет назад
9 лет назад