• Предмет: Алгебра
  • Автор: vladdyuk4
  • Вопрос задан 3 года назад

ПОМОГИТЕ ПОЖАЛУЙСТА​

Приложения:

Ответы

Ответ дал: tamarabernukho
0

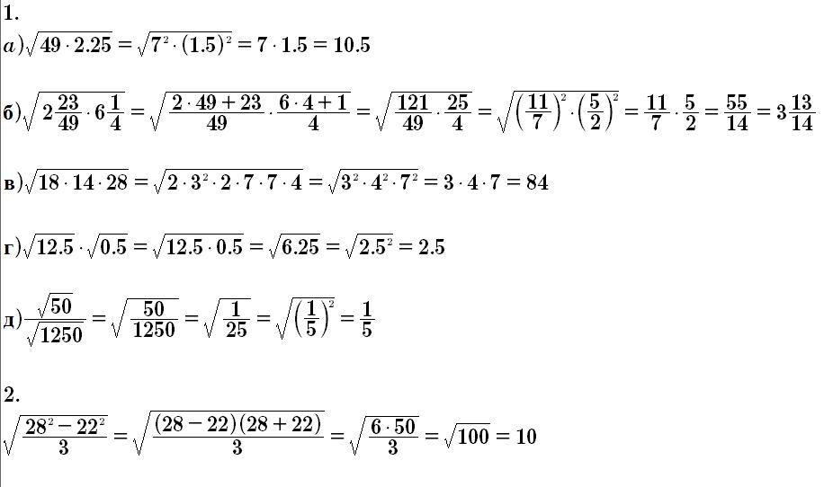
Ответ:

Объяснение:

.......................................................

Приложения:
Вас заинтересует