• Предмет: Химия
  • Автор: sOG00D
  • Вопрос задан 11 лет назад

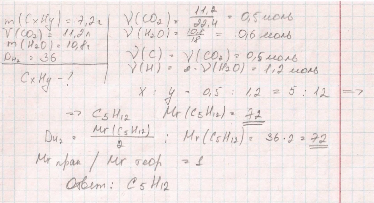
При
сгорании 7,2 г
вещества образовалось 11,2 л
углекислого газа и 10,8 г
воды. Определите формулу вещества, если плотность его паров по водороду равна
36. 

Ответы

Ответ дал: AscarisLumbricoides
0
,,,,,,,,,,,,,,,,,,,,,,,,,,,,,,,,,,,,,,,,,,,,,,,,,,,,
Приложения:
Вас заинтересует