50БАЛЛОВ!!!задайте уравнением множество точек координатной плоскостич у которых значение:
1) суммы абсцесс и ординаты равно удвоенной абсциссе
2) разности ординаты и абсциссе равно удвоенной ординате
3)суммы абсциссы и утроенной ординаты равно утроенной ординате
4)разности ординаты и абсциссы равно утроенной ординате
Ответы
Ответ дал:
1
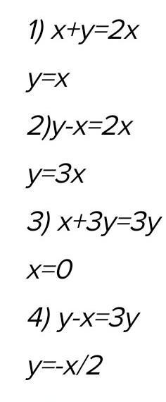
1) х+у=2х
у=х
2)у-х=2х
у=3х
3) х+3у=3у
х=0
4) у-х=3у
у=-х/2
Ответ дал:
1
Ответ:
..................................
Приложения:

Вас заинтересует
2 года назад
2 года назад
7 лет назад
9 лет назад
9 лет назад