• Предмет: Алгебра
  • Автор: sainawew
  • Вопрос задан 3 года назад

10 баллов пжжжжжжжжж

Приложения:

Ответы

Ответ дал: moldir2006kzkz
0

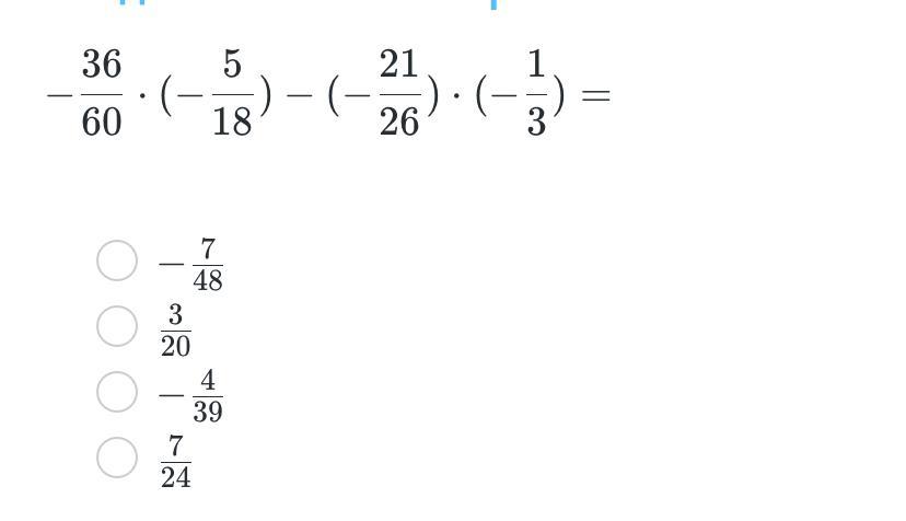
 -  \frac{4}{39}

Вас заинтересует