• Предмет: Математика
  • Автор: kvitkanik15
  • Вопрос задан 3 года назад

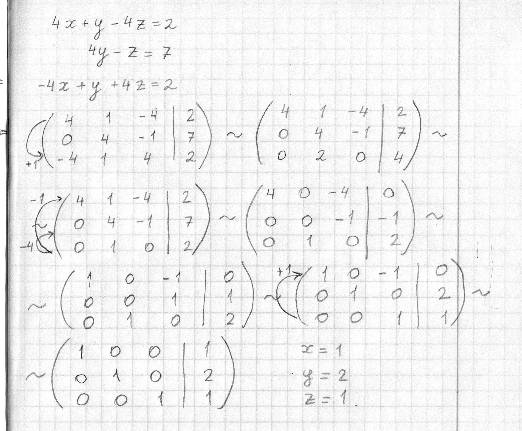
4x + y - 4z=2
4y - z = 7
- 4x + y + 4z=2
Метод гаусса

Ответы

Ответ дал: Аноним
0

я написал решение на листочке прикреплённом ===>>

Приложения:
Вас заинтересует