• Предмет: Алгебра
  • Автор: charliemoon113
  • Вопрос задан 3 года назад

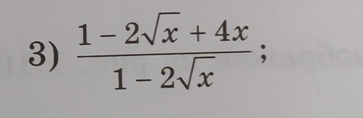
Избавьтесь от иррациональности в знаменателе дроби:​

Приложения:

Ответы

Ответ дал: ldglkva
1

Ответ:

\displaystyle \frac{1-2\sqrt{x}+4x }{1-2\sqrt{x} } = \frac{1-8x\sqrt{x} }{1-4x}

Объяснение:

\displaystyle \frac{1-2\sqrt{x}+4x }{1-2\sqrt{x} } = \frac{(1-2\sqrt{x}+4x)(1+2\sqrt{x}) }{(1-2\sqrt{x})(1+2\sqrt{x}) } = \frac{((1-2\sqrt{x})+4x)(1+2\sqrt{x}) }{1-4x} =\\\\\\\frac{(1-2\sqrt{x})(1+2\sqrt{x})+4x(1+2\sqrt{x}) }{1-4x} =\frac{1-4x+4x+8x\sqrt{x} }{1-4x} =\\\\ = \frac{1-8x\sqrt{x} }{1-4x}

Использована формула разности квадратов:

a² - b² = (a - b)(a + b)

Вас заинтересует