• Предмет: Алгебра
  • Автор: RuslanRussia1881
  • Вопрос задан 3 года назад

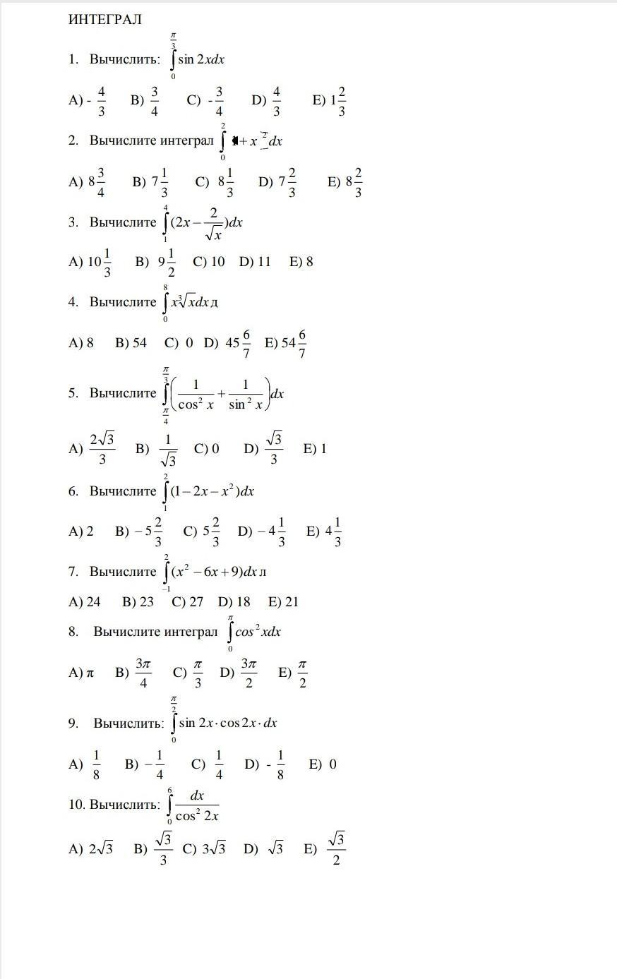
алгебра пожалуйста помогите решение и ответ ​

Приложения:

Ответы

Ответ дал: m11m
1

Ответ:

Объяснение:

!!!!!!!!!!!!!!!!!!!!!!!!!!!!!!!

Приложения:

RuslanRussia1881: 2 примера не вижу
m11m: Второго номера нет, так как на фото условие не понятно. Остальные есть.
Вас заинтересует