• Предмет: Алгебра
  • Автор: morozovaanna941
  • Вопрос задан 3 года назад

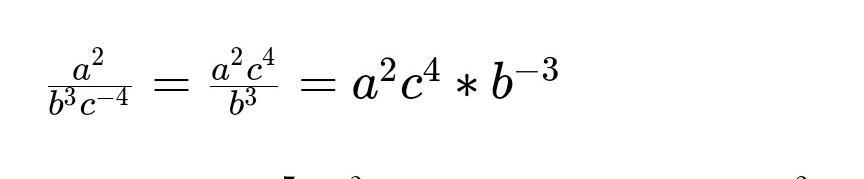
а^2/b^3с^-4 представьте в виде произведения степеней выражения​

Ответы

Ответ дал: talgataliya7881
5

Ответ:

ато правелной атвет я сам праверал

Приложения:
Вас заинтересует