Ответы
Ответ дал:
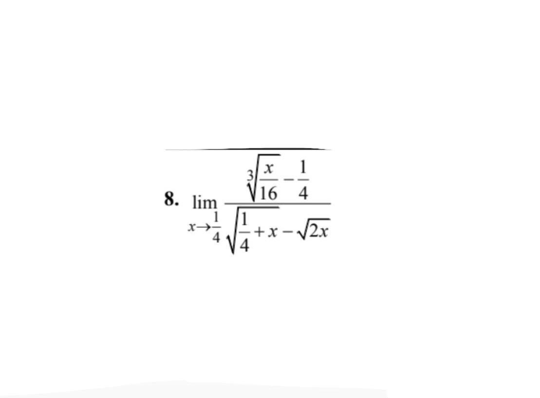
0
вот это вот ответ вроде
Приложения:

Popopopopopopopopo1:
Это по правилу Лопиталя?
Вас заинтересует
2 года назад
2 года назад
2 года назад
2 года назад
7 лет назад
7 лет назад
9 лет назад
9 лет назад