упростите выражение
1)√49a^2
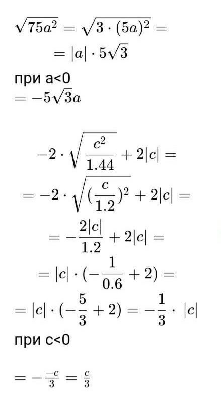
2)√75a^2 при условии a<0
3)√1,21y^2 при условии y<0
4)-2* √ c^2/1,44 + 2|c| при условии c<0
помогите! 20 баллов
Ответы
Ответ дал:
18
Ответ:
1)7a^2,2) 3 сам не знаю
Приложения:

tzagrapova:
1) 7|а|; 2) -5~3; 3) -1,1у³. 4)-не знаю
Вас заинтересует
2 года назад
2 года назад
2 года назад
2 года назад
7 лет назад
7 лет назад
9 лет назад
9 лет назад