Ответы
Ответ дал:
0
Ответ:
Объяснение:
...........................................
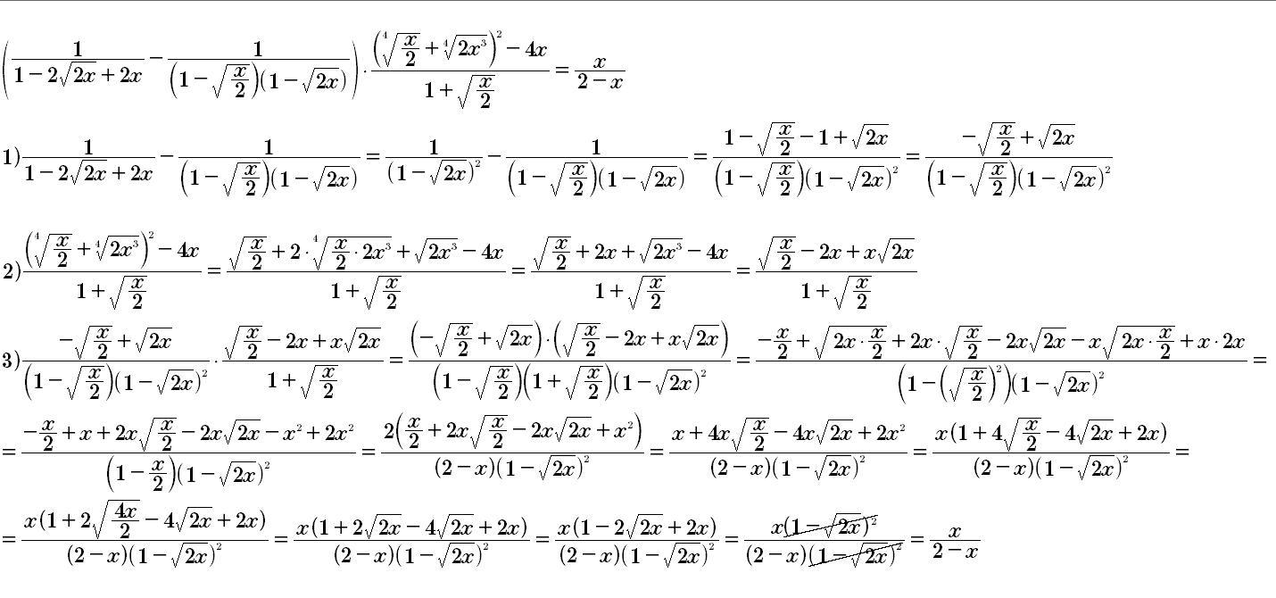
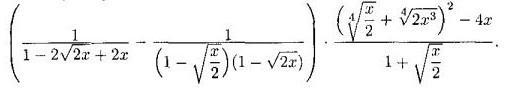
Приложения:

Вас заинтересует
2 года назад
2 года назад
2 года назад
2 года назад
7 лет назад
7 лет назад
9 лет назад