Ответы
Ответ дал:
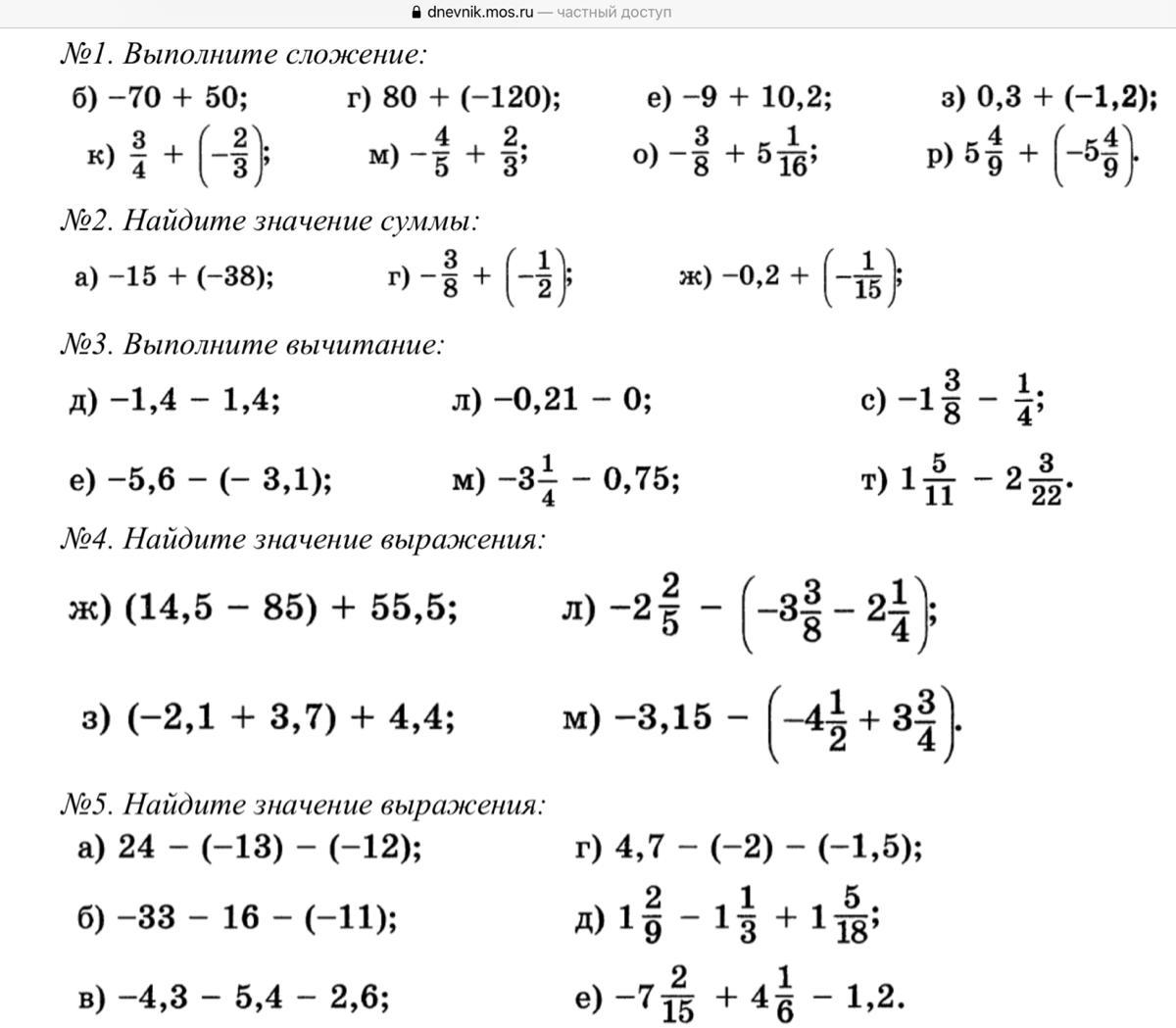
1
Объяснение:
надеюсь почерк был понятен (:
Приложения:

ashaandpets:
Огроооомное спасибо
Вас заинтересует
2 года назад
2 года назад
2 года назад
7 лет назад
7 лет назад
9 лет назад