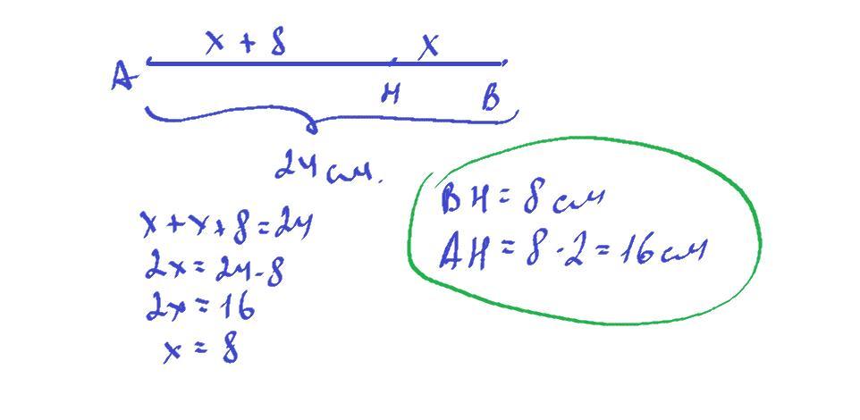
на отрезке АВ длинной 28 см взята точка Н. Найдите длину отрезка АН и ВН, если АН больше ВН на 8 см
Ответы
Ответ дал:
1
Ответ:
ВН = 8 см, АН = 16 см
Объяснение:
Приложения:

Вас заинтересует
2 года назад
2 года назад
2 года назад
7 лет назад
7 лет назад
9 лет назад