• Предмет: Алгебра
  • Автор: TntM
  • Вопрос задан 3 года назад

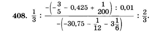
Пожалуйста помогите! Даю 20 баллов!

Приложения:

Ответы

Ответ дал: zasulanparakhatov31
0

Ответ:

1/6 Вот ответ ксли нужео полностью выложу в коммент

Приложения:

TntM: Да пожалуйста
Вас заинтересует