• Предмет: Алгебра
  • Автор: kpistinka05
  • Вопрос задан 3 года назад

Помогите решить задание.Плииз

Приложения:

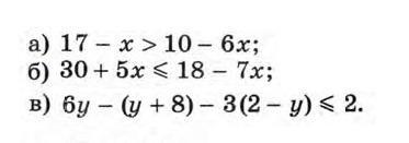
Diacru: а)х>-7/5
Diacru: b)x<_-19/5
Diacru: B)y<_2

Ответы

Ответ дал: MagayP
0

Ответ:

Объяснение:

А) 17-x>10-6x

    -5x>-7 (делим на -5 следовательно знак меняется на противоположный)

    x < -1цел. 2/7

Б) 30+5x<=18-7x

   12x<=-12 (делим на 12 знак не меняется, тк. к 12 не отрицательное число)

   x<=-1

В) 6y-(y+8)-3(2-y)<=2

1) Раскрываем скобки

6y-y-8-6+3y<=2

2) складываем подобные слагаемые

8y-14<=2

3) переносим 14 в другую часть

8y<=16

4) делим на 8 без замены знака (не отриц 8)

y<=2

Ответ дал: Evgenia4836
0

а) -x+6x>10-17

5x>-7

x>-1,4

x∈(-1,4;+∞)

б) 5x+7x≤18-30

12x≤-12

x≤-1

x∈(-∞;-1]

в) 6y-y-8-6+3y≤2

6y-y+3y≤2+8+6

8y≤16

y≤2

y∈(-∞;2]

Вас заинтересует