Ответы
Ответ дал:
1
Ответ:
во вложении
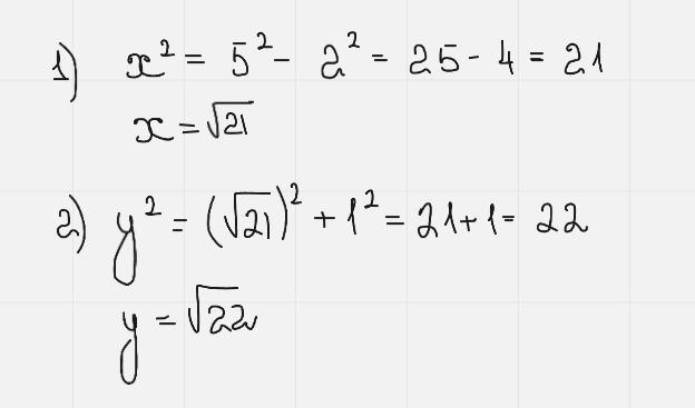
Объяснение:
всё находится с помощью теоремы Пифагора
Приложения:

shingis1995:
большое спасибо
Вас заинтересует
2 года назад
2 года назад
2 года назад
2 года назад
7 лет назад
7 лет назад
9 лет назад
9 лет назад