• Предмет: Математика
  • Автор: gag21
  • Вопрос задан 3 года назад

найти область определения у этих функций

Приложения:

Ответы

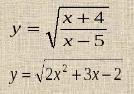
Ответ дал: bodunova94
1

Ответ:

во вложении

Пошаговое объяснение:

Приложения:
Вас заинтересует