• Предмет: Физика
  • Автор: xismatullin2005
  • Вопрос задан 3 года назад

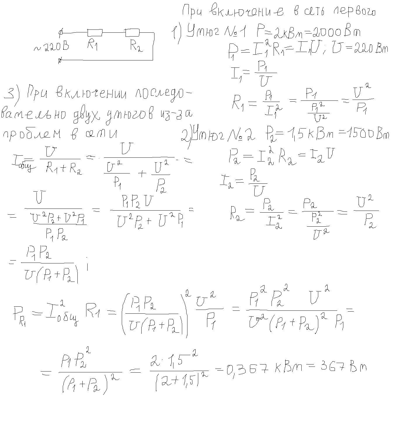
Два утюга с мощностью 2кВт и 1.5кВт из-за проблем соединения в розетках включили последственно в сеть 220В. Какая мощность будет выделяться на первом утюге? Ответ выразите в Вт и округлите до целых. Сопродивления утюгов считать постоянным

Ответы

Ответ дал: ssroman72
0

Ответ:

решение с ответом смотреть на картинке

Объяснение:

Приложения:
Вас заинтересует