• Предмет: Алгебра
  • Автор: elizaveta667
  • Вопрос задан 3 года назад

помогите пожалуйста срочно у меня диктант ​

Приложения:

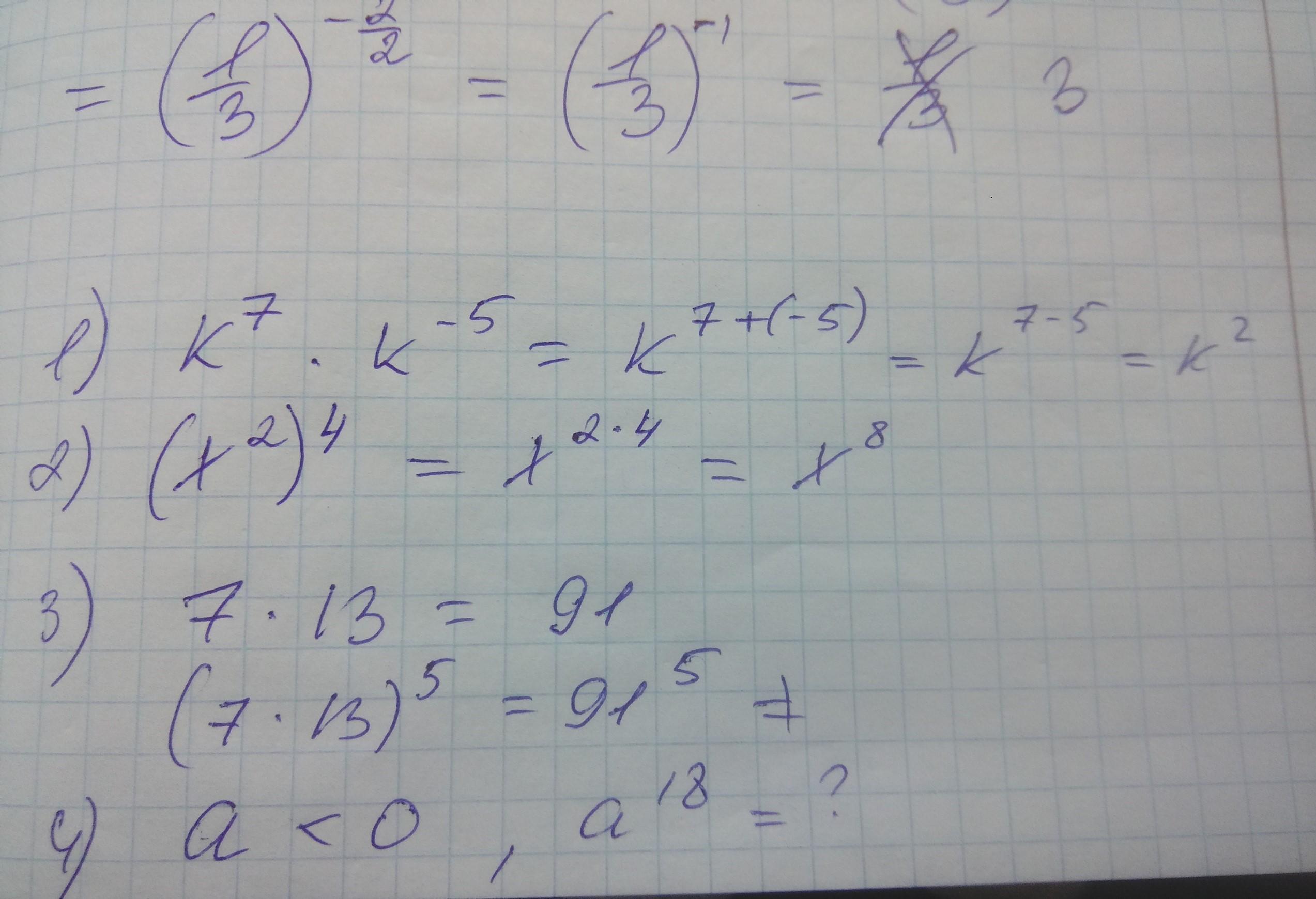
Аноним: к⁷/к-⁵

Ответы

Ответ дал: arsik32
1

Ответ на 1 и 2 фото. На последнем - свойства степеней. (Не все)

Приложения:

elizaveta667: спасибо, ты меня спас(ла)
Вас заинтересует