• Предмет: Алгебра
  • Автор: papinadocha123kristi
  • Вопрос задан 3 года назад

помогитееее пожалуйста​

Приложения:

Ответы

Ответ дал: olesyailchenko
1

Ответ:

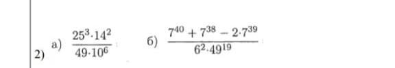
a) 62500/10   (10 в 6 степени)

б) 1

Объяснение:

Вас заинтересует