• Предмет: Алгебра
  • Автор: beram
  • Вопрос задан 3 года назад

Решите пожалуйста Пределы

Приложения:

Ответы

Ответ дал: palilov243659
1

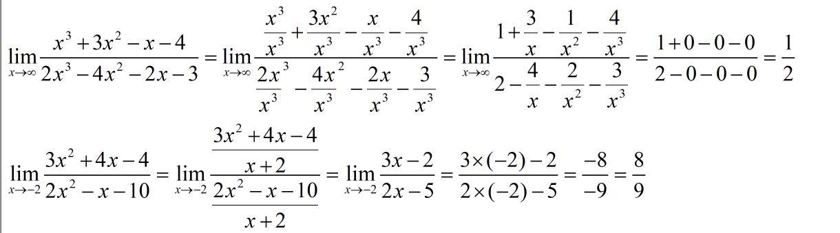
Ответ:

Объяснение:

во вложении    

Приложения:
Вас заинтересует