• Предмет: Алгебра
  • Автор: Аноним
  • Вопрос задан 3 года назад

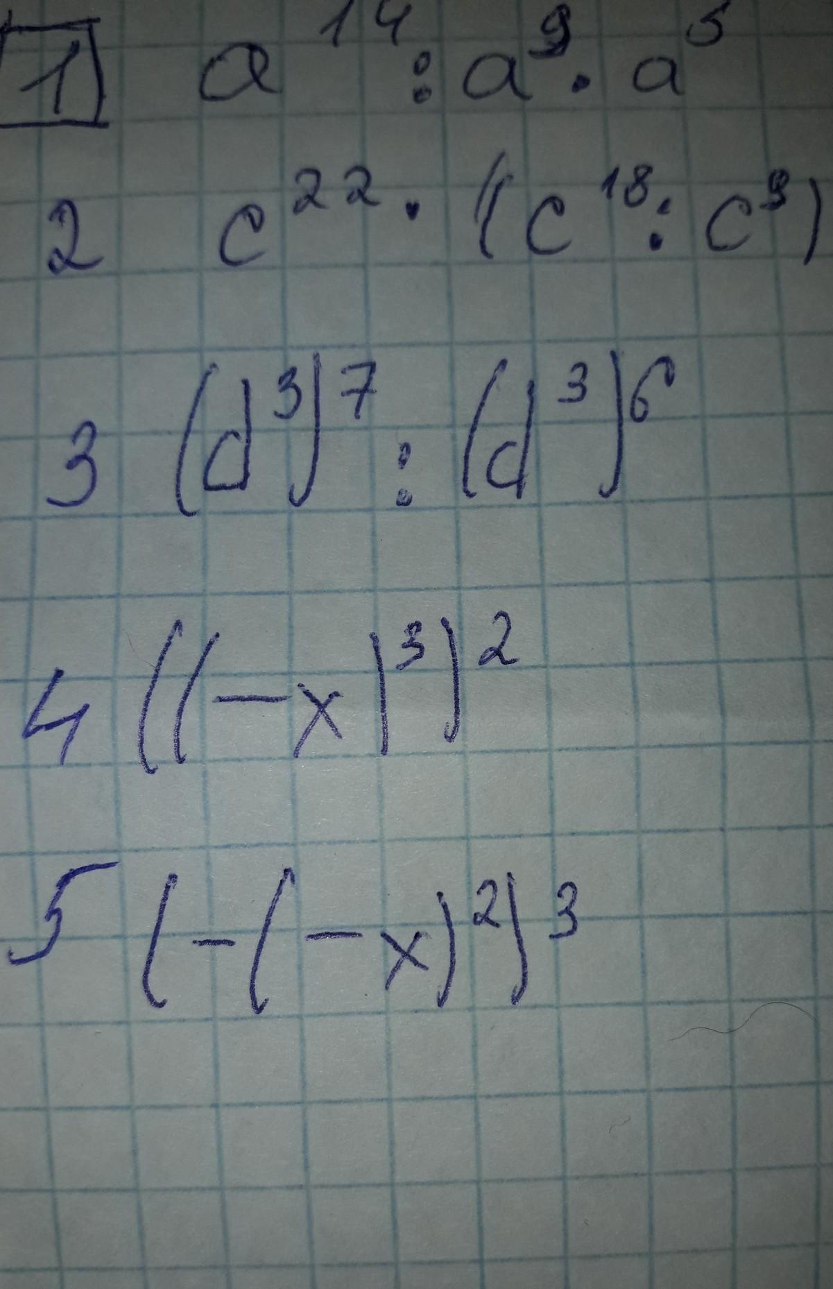
упростить используя свойства степени
срочно​

Приложения:

Ответы

Ответ дал: tatsach
2

Ответ:

Объяснение:

1)=а^(14-9+3)=а^8

2)=с^(22+(18-9)=с^31

3)=d^21:d^18=d^(21-18)=d^3

4)=(-х)^6

5)=х^6


Аноним: спс
Аноним: :)
tatsach: Пж
Вас заинтересует