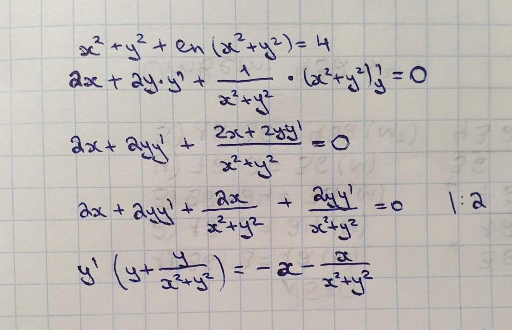
Найти производную dy/dx от неявной функции, заданной уравнением
x^2+y^2+ln(x^2+y^2) =4
Подскажите просто шаги действий для решения
Ответы
Ответ дал:
0
Ответ:
решение на фотографиях
Приложения:


Вас заинтересует
2 года назад
2 года назад
2 года назад
7 лет назад
9 лет назад