чи є числа 68 і 111 взаємно простими, срочно скажите! Если через час мне не написать меня мама убьет
ВикаБач:
так
Ответы
Ответ дал:
7
Ответ:
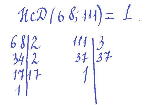
Так, числа взаємно прості, бо НСД цих чисел = 1.
Пошаговое объяснение:
Немає однакових множників у розкдладі першого і другого числа на прості множники. Значить числа взаємно прості і їхній НСД = 1.
Приложения:

Вас заинтересует
2 года назад
2 года назад
2 года назад
7 лет назад
7 лет назад
9 лет назад