• Предмет: Математика
  • Автор: vfsgb
  • Вопрос задан 3 года назад

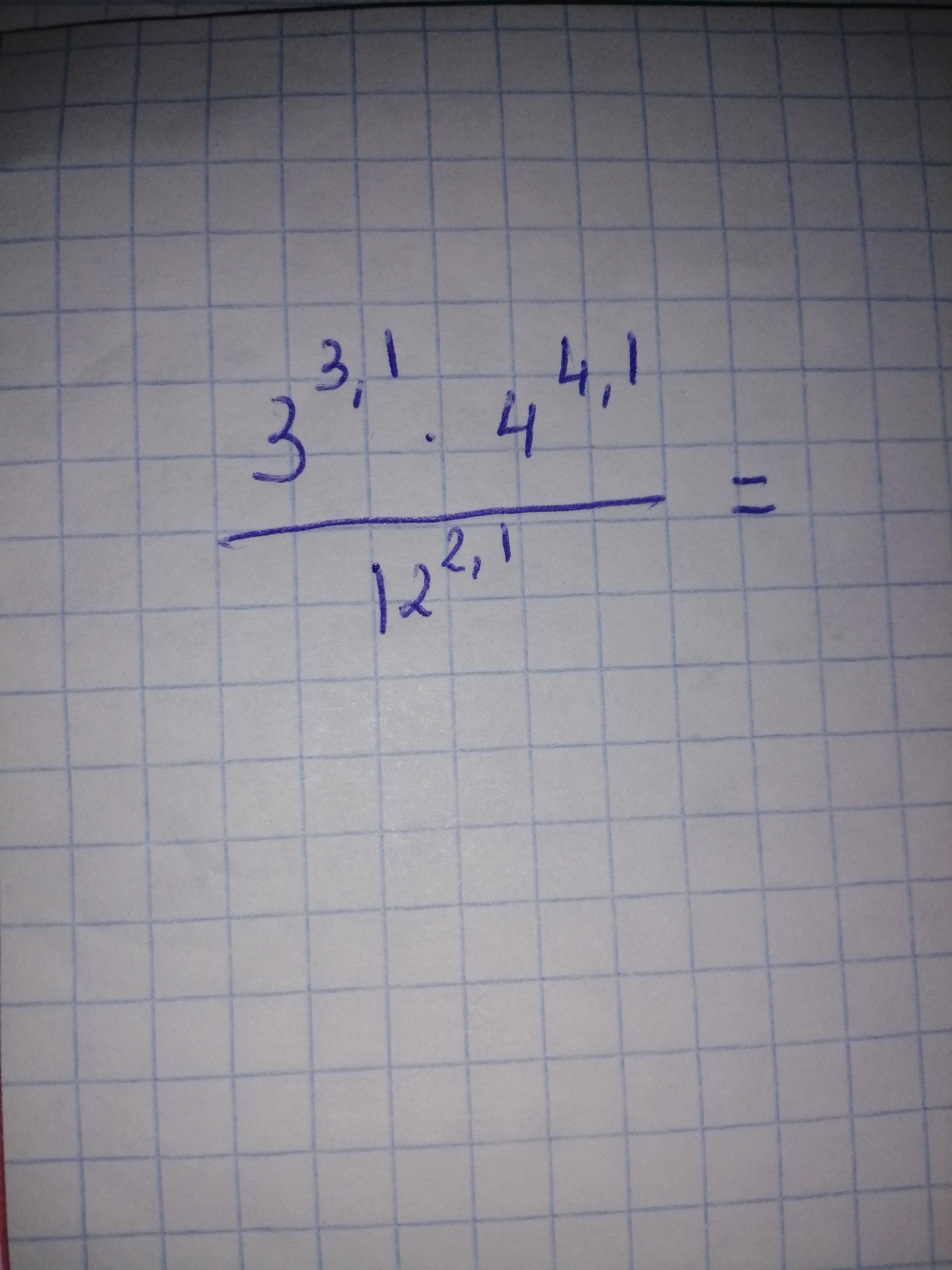
3^3.1 *4^4.1/12^2.1
Помогите пожалуйста!

Приложения:

Ответы

Ответ дал: TamilaMaria
0

 \frac{ {3}^{3} \times  {3}^{0.1} \times  {4 }^{4} \times  {4}^{0.1}    }{ {12}^{2} \times  {12}^{0.1}  }  =  \frac{ {3}^{3} \times  {4}^{4} }{{3}^{2}  \times  {4}^{2} }  = 3 \times 16 = 48

Ответ дал: ashimanskayaa1
0

Ответ:

Правильный ответ 48

Решение:

= 8861,79815876

= 48

Пошаговое объяснение:

Вас заинтересует