• Предмет: Алгебра
  • Автор: GroUvi
  • Вопрос задан 3 года назад

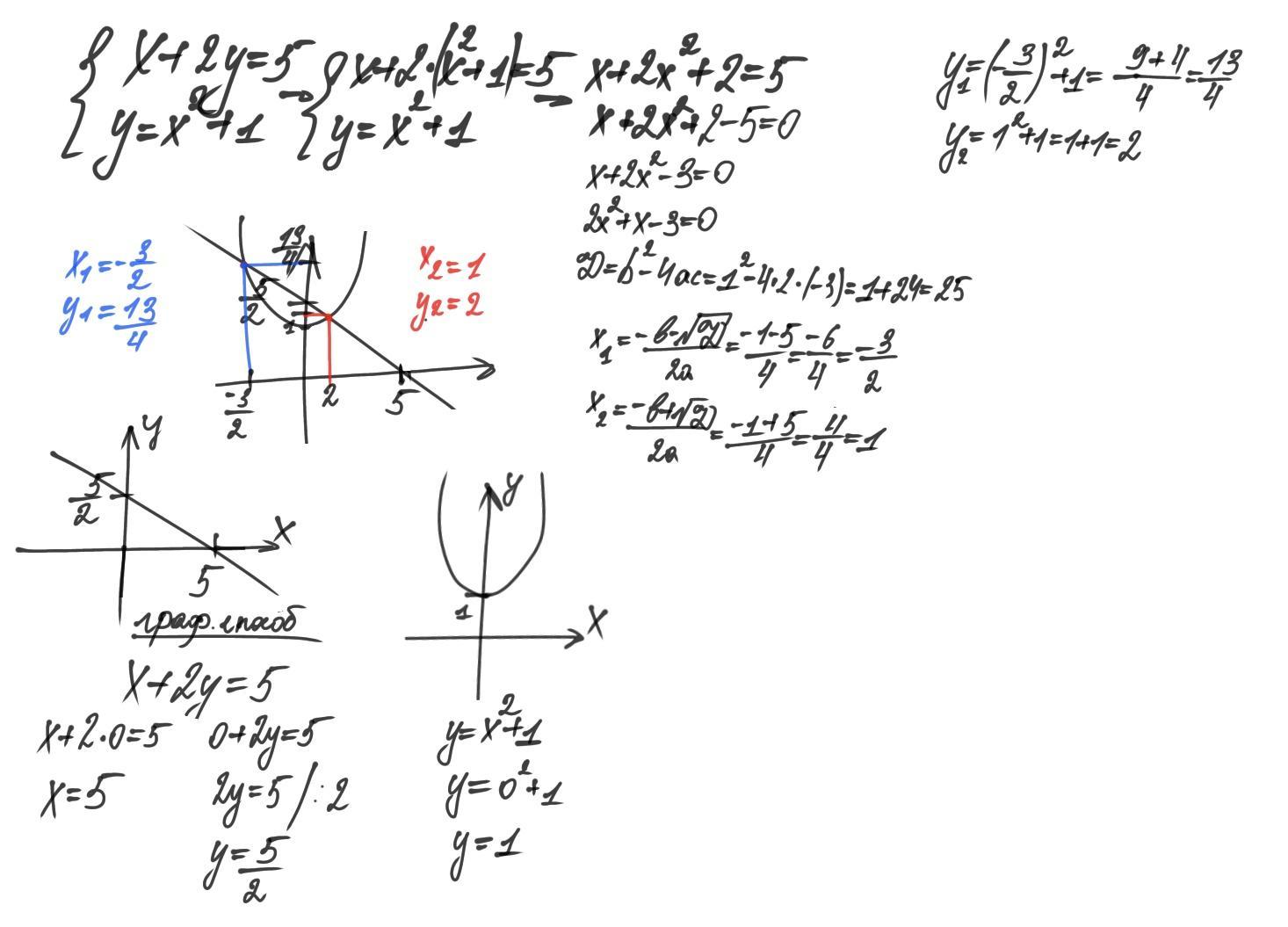
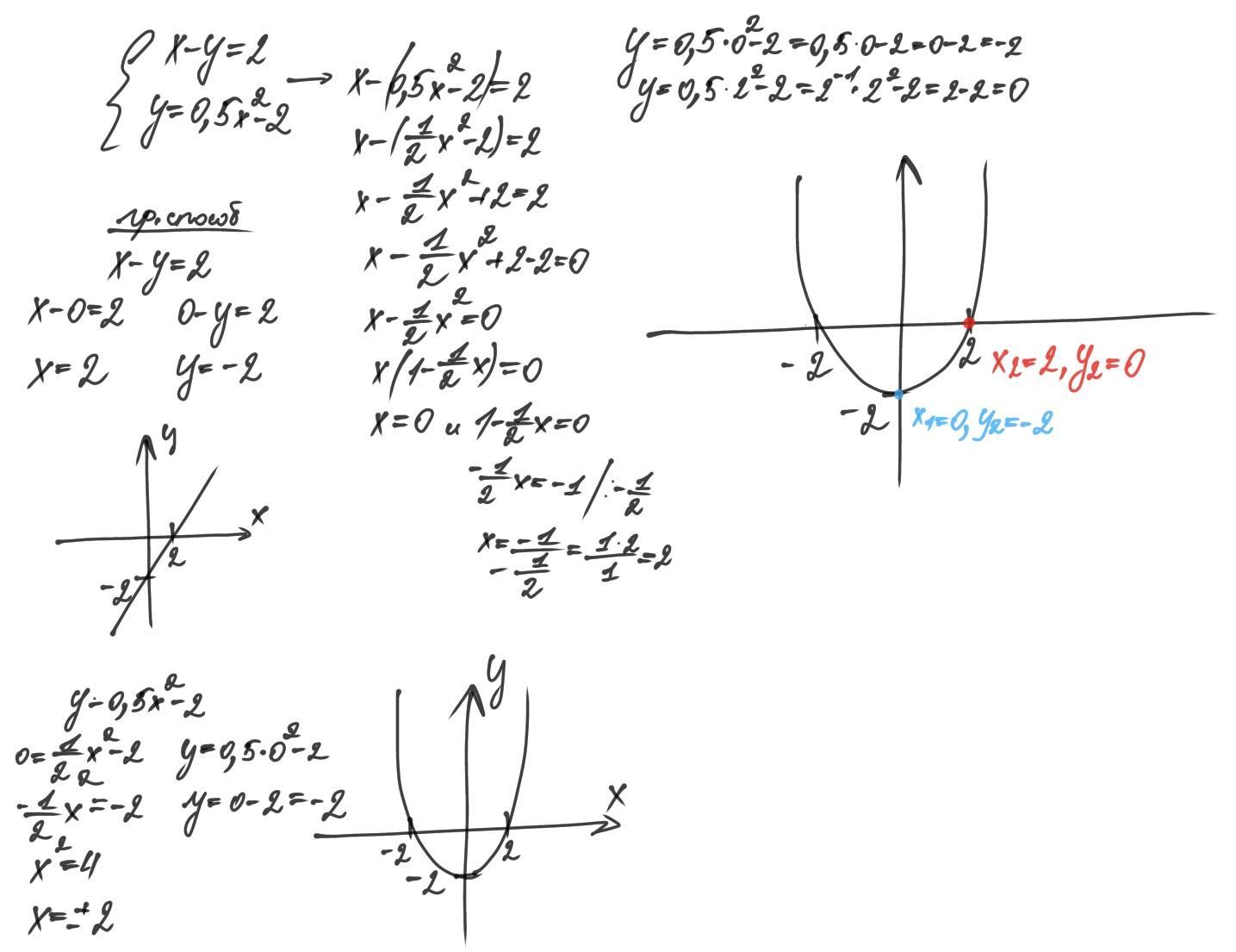
Решите графическим способом и способом подстановки систему уравнений: (3 и 4)​

Приложения:

Ответы

Ответ дал: roousetyaey
2

Смотри ниже прикрепленные файлы

Приложения:
Вас заинтересует