• Предмет: Информатика
  • Автор: annavishnevskaya666
  • Вопрос задан 3 года назад

Заполните таблицу, в каждой строке которой одно и то же число должно быть записано в системах счисления с основаниями 2, 8, 10 и 16.
ПОЖАЛУЙСТА, С РЕШЕНИЕМ! ИЛИ ОБЪЯСНИТЕ ПРИНЦИП ВЫПОЛНЕНИЯ ДАННОГО ЗАДАНИЯ. ​

Приложения:

Ответы

Ответ дал: sergeypolumardenov
4

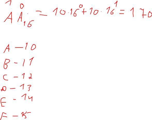
Ответ:

На картинке.

Чтобы перевести из десятичной системы счисления, в другую любую СС, надо:

1. разделить число на СС

2. запомнить остаток

3. поделить целую часть снова на СС

затем когда делить уже будет нечего, записываем ответ - это остатки с КОНЦА.

Чтобы перевести из любой системы в десятичную надо:

1. дать всем числа порядок от 0.. начиная с последней цифры

2. затем умножаем число на СС в степени порядка, и так с каждый числом и потом все плюсуем

Приложения:

annavishnevskaya666: Спасибо!
Вас заинтересует