Ответы
Ответ дал:
1
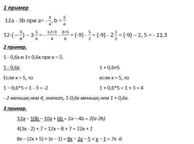
Подробное решение на картинке.
Там ошибочка где пример 3, будет 12х - 1
Приложения:

Вас заинтересует
2 года назад
2 года назад
7 лет назад