• Предмет: Алгебра
  • Автор: Karamnov2909
  • Вопрос задан 3 года назад

Решить уравнение #5 с помощью метода крамера. Желательно, подробно всё расписать

Приложения:

Ответы

Ответ дал: sangers1959
2

Объяснение:

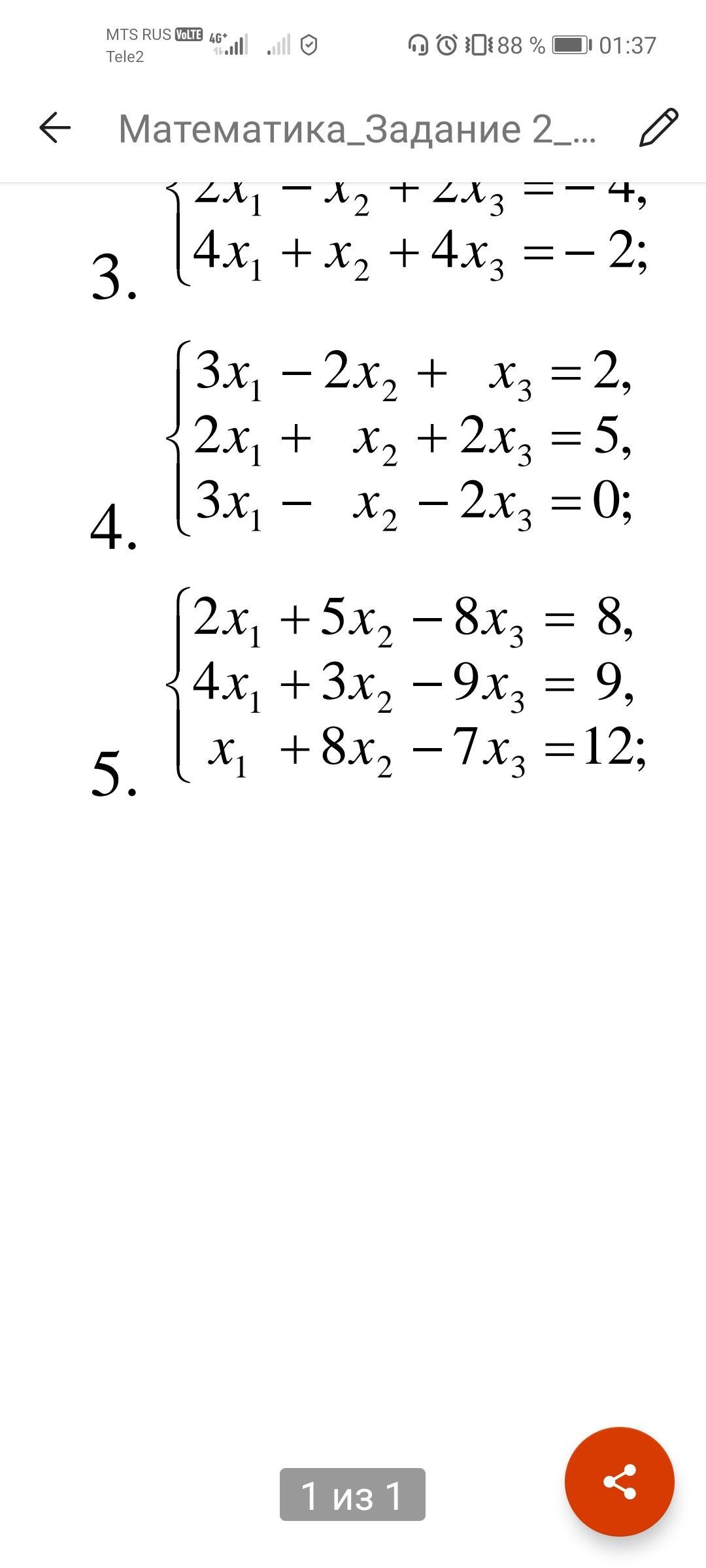
\left\{\begin{array}{ccc}2x_1+5x_2-8x-3=8\\4x_1+8x_2-9x_3=9\\x_1+8x_2-7x_3=12\end{array}\right .\\

Запишем систему в следующем виде:

A=\left(\begin{array}{ccc}\ 2\ \ 5\ -8\\4\ \ 3\ -9\\1\ \ 8\ -7\end{array}\right) \\B^T=(8, \ 9,\ 12).\\

Найдём определитель:

\Delta=2*(3*(-7)-(-9)*8)-5*(4*(-7)-(-9)*1)+(-8)*(4*8-3*1)=\\=2*(-21+72)-5*(-28+9)-8*(32-3)=2*51+5*19-8*29=\\=102+95-232=-35\neq 0.

Заменим 1-й столбец матрицы А на вектор результата В:

\left(\begin{array}{ccc}8\ \ \ \ 5 -8\\9\ \ \ \ 3\ -9\\12\ \ \ 8\ -7\end{array}\right) \\\Delta_1=8*((3*(-7)-(-9)*8)-5*(9*(-7)-(-9)*12)+(-8)*(9*8-3*12)=\\=8*(-21+72)-5*(-63+108)-8*(72-36)=8*51-5*45-8*36=\\=408-225-288=-105.

Заменим 2-й столбец матрицы А на вектор результата В:

\left(\begin{array}{ccc}2&8&-8\\4&9&-9\\1&12&-7\end{array}\right) \\\Delta_2=2*(9*(-7)-(-9)*12)-8*(4*(-7)-(-9)*1)+(-8)*(4*12-9*1)=\\=2*(-63+108)-8*(-28+9)-8*(48-9)=2*45-8*(-19)-8*39=\\=90+152-312=-70.

Заменим 3-й столбец матрицы А на вектор результата В:

\left(\begin{array}{ccc}2&5&8\\4&3&9\\1&8&12\end{array}\right)\\\Delta_3=2*(3*12-9*8)-5*(4*12-9*1)+8*(4*8-3*1)=\\=2*(36-72)-5*(48-9)+8*(32-3)=2*(-36)-5*(39)+8*29=\\=-72-195+232=-35.\ \ \ \ \Rightarrow\\x_1=\frac{\Delta_1}{\Delta} =\frac{-105}{-35}=3.\\ x_2=\frac{\Delta_2}{\Delta} =\frac{-70}{-35}=2.\\x_3=\frac{\Delta_3}{\Delta} =\frac{-35}{-35}=1.

Ответ: x₁=3     x₂=2    x₃=1.


Miа16: прошу хелп срочно надо https://znanija.com/task/38466055
Вас заинтересует