• Предмет: Алгебра
  • Автор: Marina23456zufixi
  • Вопрос задан 3 года назад

Помогите пожалуйста)))))

Приложения:

Ответы

Ответ дал: tatsach
0

Ответ:

Объяснение:

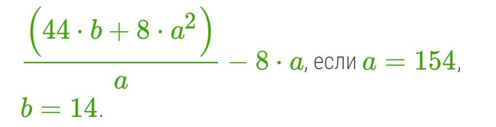
=(44b+8a^2-8а^2) / а=44b/a

44*14 / 154=4

Ответ дал: katyasuslova18
0

Объяснение:

упрощаешь уравнение, подставляешь

Приложения:
Вас заинтересует