• Предмет: Алгебра
  • Автор: skopitskam
  • Вопрос задан 3 года назад

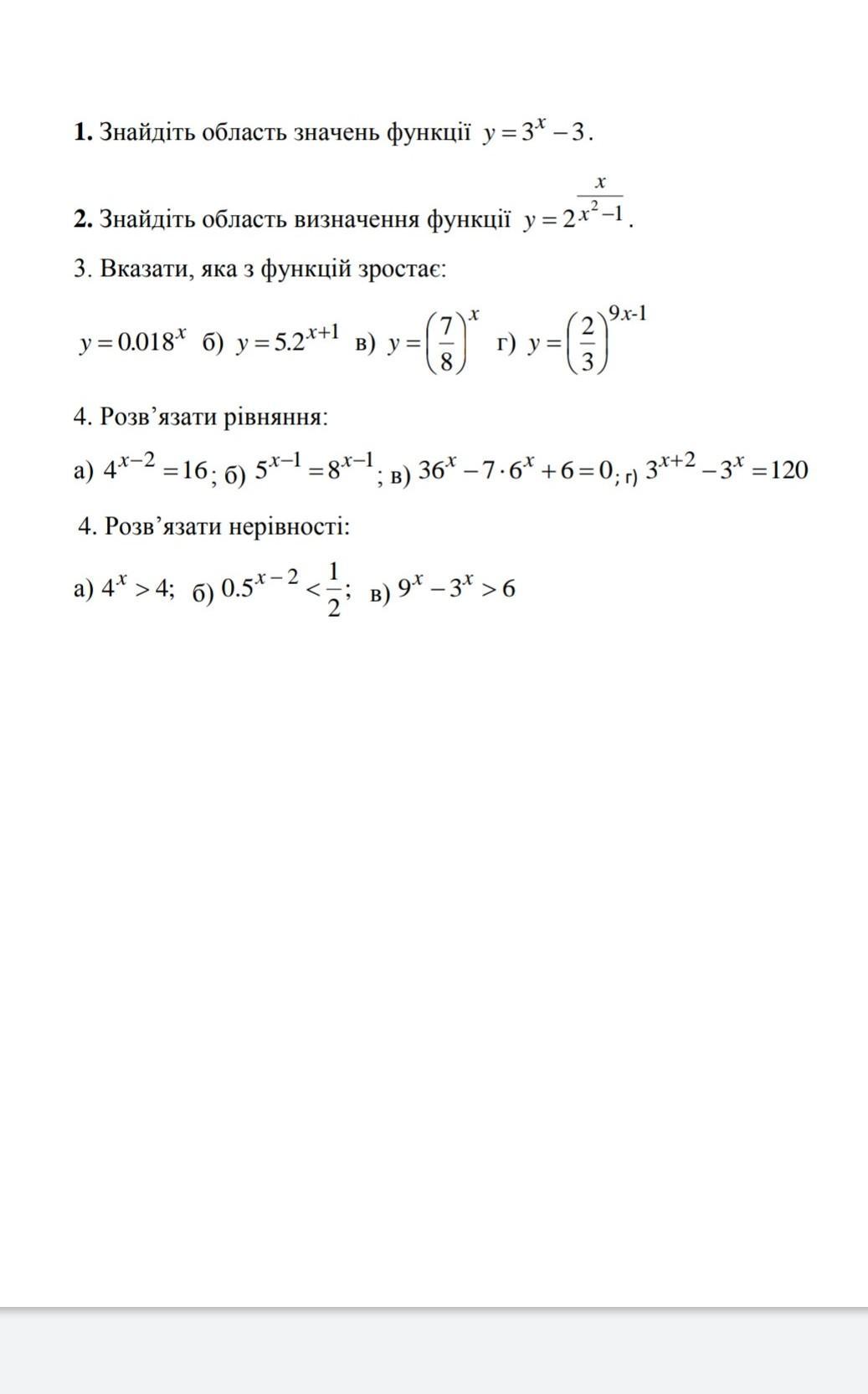
Помогите зделать хотябы 1 и 2 задания очень срочно пожалуйста​

Приложения:

Ответы

Ответ дал: table123
1

Ответ:

Объяснение:

1)  отв.  (-3;+Б)

3)  а),в),г) -убывающие,  б) -возрастает (основание >1)

Вас заинтересует