Помогите, пожалуйста, решить уравнение по программированию (C#)

Приложения:

Ответы

Ответ дал: vovapecherscky
1

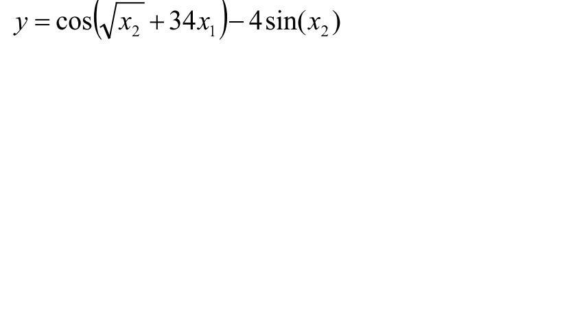
using System;

namespace ConsoleApp4

{

   class Program

   {

       static void Main(string[] args)

       {

           double x1 = Convert.ToDouble(Console.ReadLine());

           double x2 = Convert.ToDouble(Console.ReadLine());

           double y = (Math.Cos(Math.Sqrt(x2) + (34 * x1)) - 4 * Math.Sin(x2));

       }

   }

}


Ada057: Пожалуйста, помогите https://znanija.com/task/38525387
Вас заинтересует