• Предмет: Алгебра
  • Автор: даниил1200000000
  • Вопрос задан 3 года назад

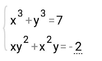
Решите способом подстановки и способом сложения систему уравнений

Приложения:

Ответы

Ответ дал: sadovnikovkonst
2

Ответ:

x=-1, y=2

Объяснение:

1)подстановкой находим, что для первой части системы подходит только x=1, y=-2 или x=-1, y=2.

2)складываем первую и вторую часть системы уравнений, x^3+x^2y+xy^2+y^3=5, из первых двух множителей выносим  x^2, из третьего и четвертого-y^2, получаем:

x^2(x+y)+y^2(x+y)=5

(x^2+y^2)(x+y)=5

Вне зависимости от x=1, y=-2 или x=-1, y=2 первая скобка равна 5, вторая скобка равна 1 только при x=-1, y=2.


даниил1200000000: Спасибо
даниил1200000000: Помоги с еще похожим https://znanija.com/task/38471346
даниил1200000000: Пожалуйста
Вас заинтересует