• Предмет: Математика
  • Автор: Bronzor1
  • Вопрос задан 3 года назад

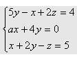
При каких значениях параметра a система не имеет решения.

Приложения:

Ответы

Ответ дал: lidiasaraa3
1

вот........................

Приложения:
Вас заинтересует