Помогите срочно пожалуйста помогите
Приложения:
                     
                            
                    ekaterinabiknys2208:
                    Ну пожалуйста
                
            
                    
                    Помогите
                
            
                    
                    Это из учебника
                
            Ответы
                                            Ответ дал: 
                                                                                    
                                        
                                            
                                                
                                                
                                                
                                                    2
                                                
                                            
                                        
                                    Ответ:
в прикрепленном
Объяснение:
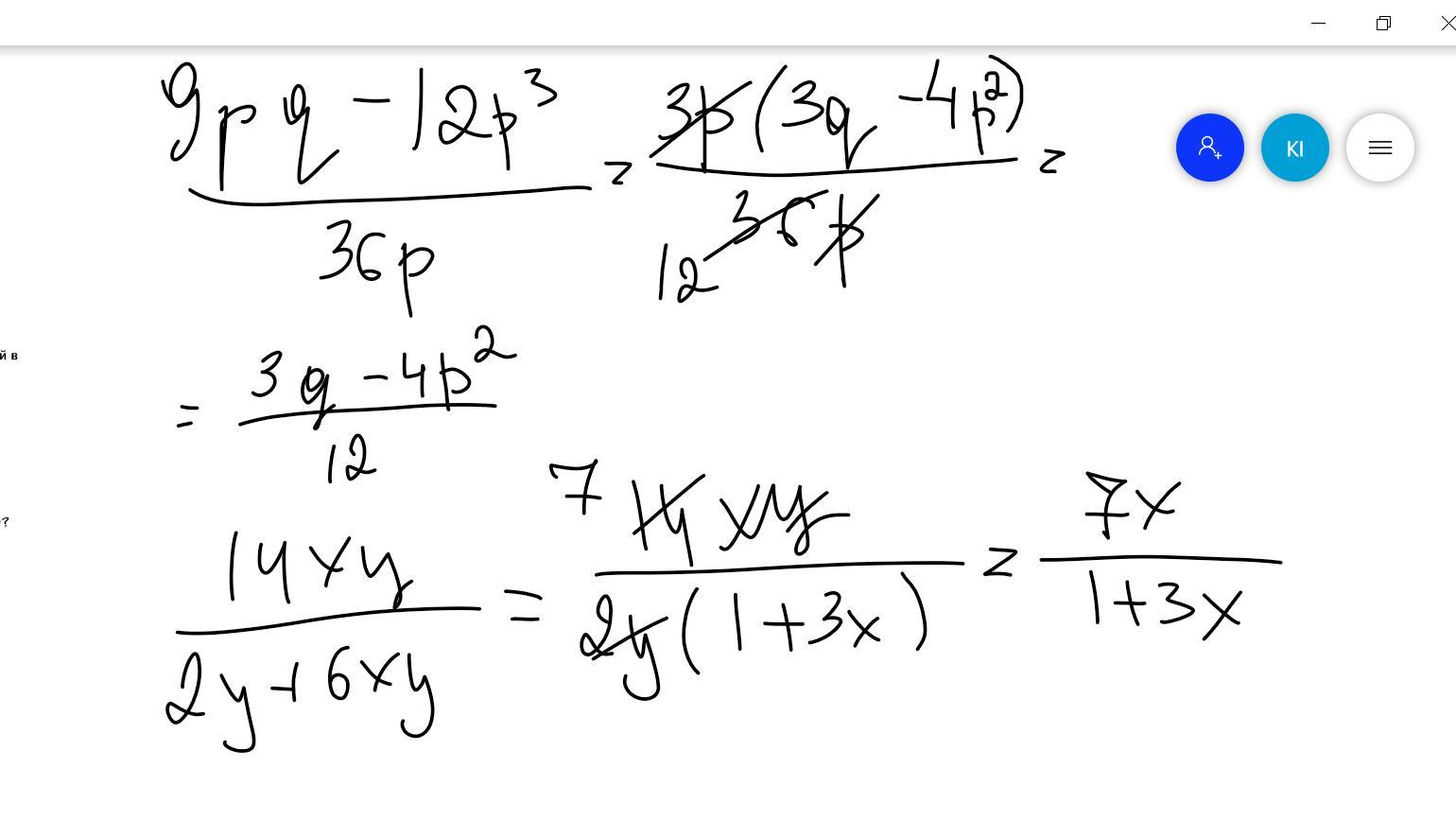
нижнее выражение с твоего фото если правильно разобрала почерк - сократится вот так. если записала не так - ответь на это комментарием или напиши сообщение, переделаю
Приложения:
                     
                            
                    
                    пожалуйста, отметьте это как лучший ответ. спасибо
                
            Вас заинтересует
                
                        2 года назад
                    
                
                        2 года назад
                    
                
                        2 года назад
                    
                
                        7 лет назад
                    
                
                        7 лет назад