Найти выражения (sina-cosa) ²+6sina*cosa,если известно, что sina+cosa=0,8
Помогите пожалуйста
1)-0,28
2)0,28
3)1,36
Ответы
Ответ дал:
0
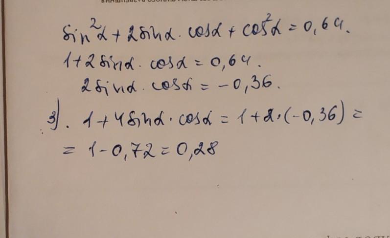
Ответ:
= 0,28
Объяснение:
решение во вложении (два фото)
Приложения:
Вас заинтересует
2 года назад
2 года назад
2 года назад
2 года назад
8 лет назад
8 лет назад
9 лет назад
9 лет назад