• Предмет: Математика
  • Автор: nikolleta72
  • Вопрос задан 3 года назад

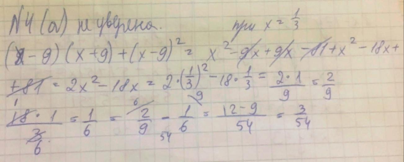
ну,тут вроде не сложно,но если можно то с решениями​

Приложения:

nikolleta72: 3 и 4 вопросы,пятый не надо
oieu2350: а 5 задание нужнен график?
oieu2350: а ой сори!

Ответы

Ответ дал: oieu2350
1

Ответ:

Пошаговое объяснение:

Подробно в файле, удачи

Приложения:

oieu2350: просто в 1 №4 можно вынести 2х за скобки и тогда ответ не такой красивый как под б, в и г
oieu2350: И я не знаю как это вообще получилось ;_(
Вас заинтересует