МОЛЮ!ОБЪЯСНИТЕ КАК РЕШАТЬ ,ПОДРОБНО!КТО ХОРОШО РАЗБИРАЕТСЯ В ТРИГОНОМЕТРИИ ,СИНУСОИДЫ
Приложения:

Simba2017:
вообще при каких углах синус равен этим значениям?
Ответы
Ответ дал:
2
Ответ:
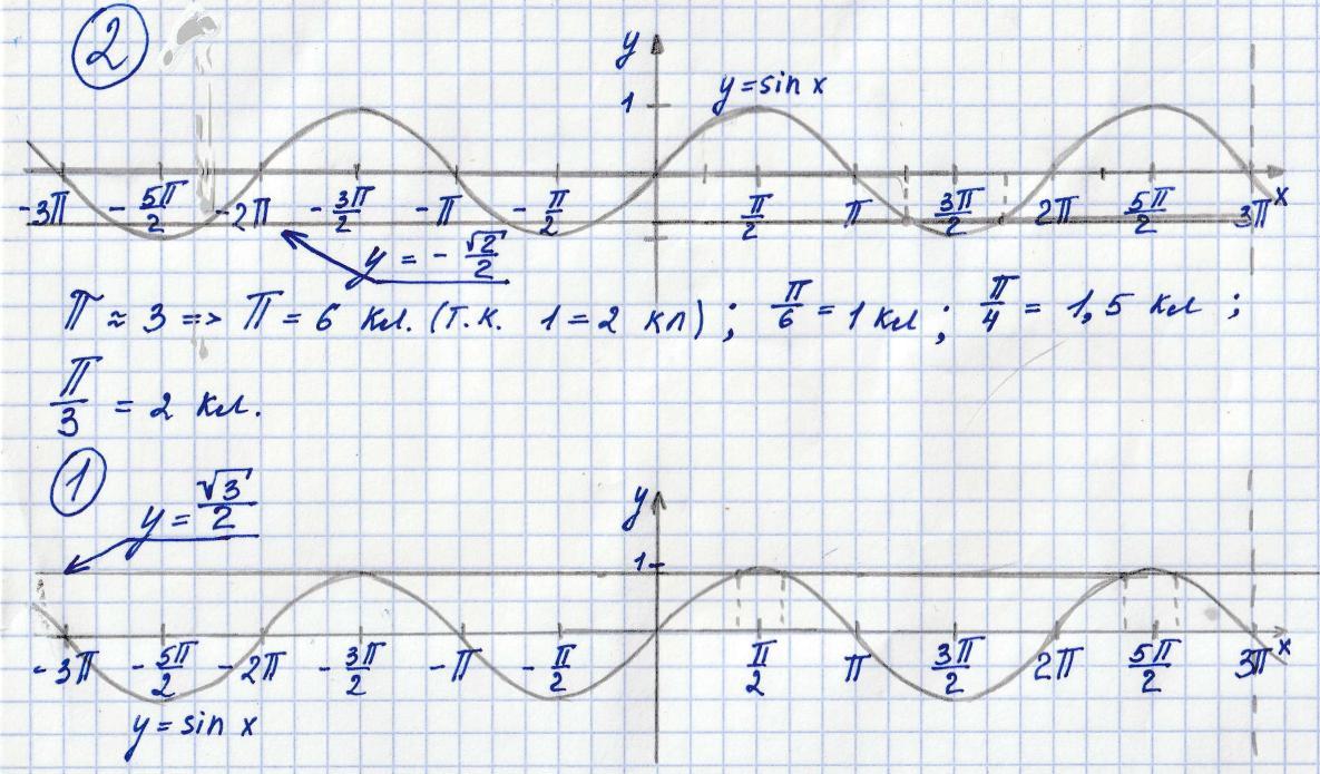
короче смотри фото я хз как то так
Приложения:

Ответ дал:
2
Решаем по методу круга(ответ во вложении):
(во втором решении не вместился ответ, но те 4 корня, которые получились и будут ответом)
(На втором вложении показано решение через график синусоиды. Но нахождение корней будет таким же, как и с методом круга)
Приложения:


Вас заинтересует
2 года назад
2 года назад
2 года назад
2 года назад
7 лет назад
7 лет назад
9 лет назад