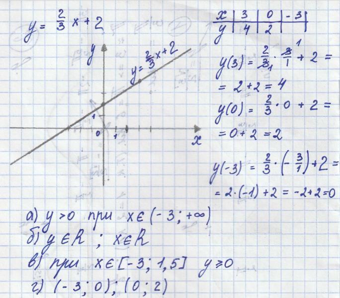
постройте график функции у=2/3х+2 и с помощью его ответьте на вопросы:
а) при каких значениях аргумента функция принимает положительные значения?
б) какова область ее значений?
в) какие значения принимает функция, если -3<=x<=1.5?
г) найдите координаты точки пересечения графика функции с осями.
Ответы
Ответ дал:
0
Дальше решение во вложении:
Приложения:

Вас заинтересует
2 года назад
2 года назад
2 года назад
2 года назад
7 лет назад
7 лет назад
9 лет назад