• Предмет: Алгебра
  • Автор: Polovets
  • Вопрос задан 3 года назад

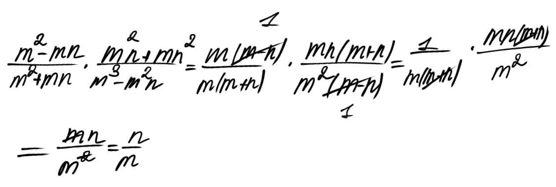
Чему равно выражение

Приложения:

Ответы

Ответ дал: roousetyaey
1

- - - - - - - - - - - - - - -

Приложения:
Вас заинтересует