• Предмет: Алгебра
  • Автор: dasag223
  • Вопрос задан 3 года назад

пАмАгИтЕ
Кто-НибУТьω

Приложения:

Ответы

Ответ дал: hill384
1

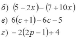
б) (5-2x)-(7+10x)=5-2x-7-10x=-12x-2

в) 6(c+1)-6c-5=6c+6-6c-5=1

г) -2(2p-1)+4=-4p+2+4=-4p+6


Universalka: В первом зададании ошибка
Ответ дал: Universalka
0

1) (5 - 2x) - (7 + 10x) = 5 - 2x - 7 - 10x = - 12x - 2

2) 6(c + 1) - 6c - 5 = 6c + 6 - 6c - 5 = 1

3) - 2(2p - 1) + 4 = - 4p + 2 + 4 = - 4p + 6

Вас заинтересует