Ответы
Ответ дал:
1
Ответ:
Вроде бы вот так......
Приложения:

Ответ дал:
1
Ответ:
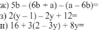
1. 5b-6b-a-a+6b=5b-2a
2. 2y-2-2y+12=-2+12=10
3. 16+6-9y+8y=22+17y
Вас заинтересует
2 года назад
2 года назад
2 года назад
2 года назад
7 лет назад