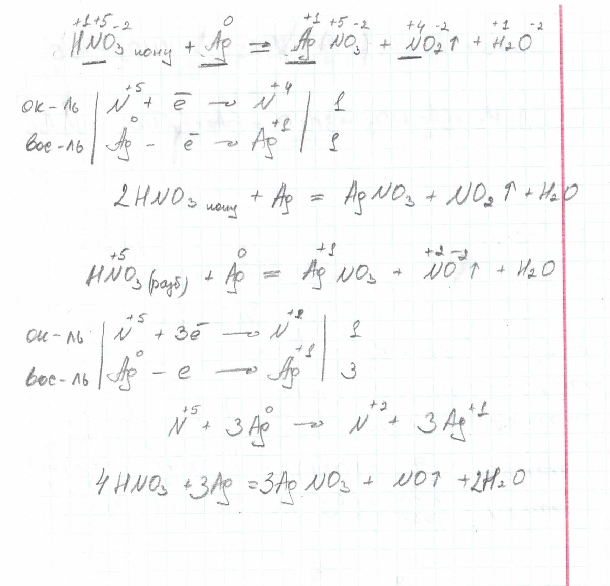
составьте уравнения реакций серебра с концентрированной и разбавленной азотной кислотой, зная, что в первом случае продуктом восстановления азотной кислоты будет оксид азота(IV), а во втором - оксид азота(II). укажите окислитель и восстановитель, составьте электронный баланс
Ответы
Ответ дал:
0
Пожалуйста... см.вложение.
Приложения:
Вас заинтересует
3 года назад
3 года назад
8 лет назад
8 лет назад
11 лет назад
11 лет назад
11 лет назад
11 лет назад