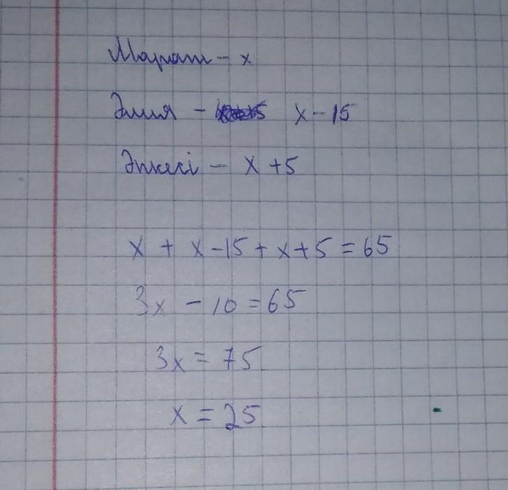
Марат агай алиядан 15 жас улкен ал озинин апкесинен 5 жас киши.ушеуини жасын косканда 65 жас болды ,Марат агайдын жасы нешеде?
Ответы
Ответ дал:
12
Ответ:
Марат 25 жаста
Пошаговое объяснение:
Марат - х
Алия - х-15
Апкеси - х+5
Приложения:

Вас заинтересует
2 года назад
2 года назад
7 лет назад
9 лет назад