• Предмет: Алгебра
  • Автор: alina0366
  • Вопрос задан 3 года назад

Помогите пожалуйста решить! Очень нужно!​

Приложения:

Ответы

Ответ дал: Miroslava227
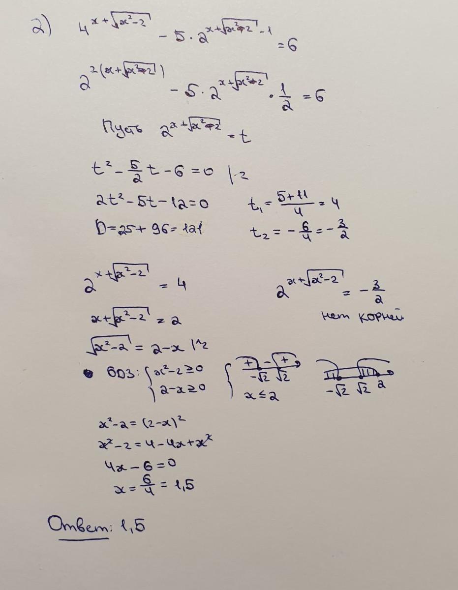
1

Ответ:

решение на фотографии

Приложения:

alina0366: Спасибо большое
Вас заинтересует